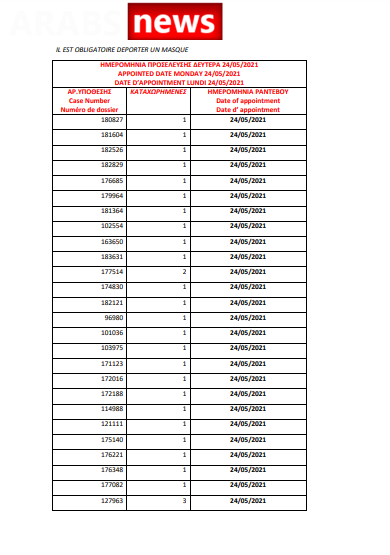
أصدرت دائرة اللجوء اليونانية في مدينة ثيسالونيكي اليوم الخميس 13 مايو 2021، أرقام الباسبورات الجاهزة الخاصة بحالات اللجوء، وسيتم تسليم الجوازات أيام 24 و25 و26 و27 و28 مايو.
الجوازات التي سيتم تسليمها يوم 24 مايو


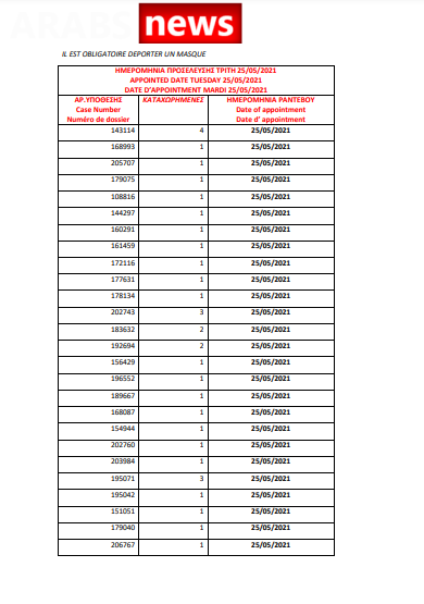
الجوازات التي سيتم تسليمها يوم 25 مايو


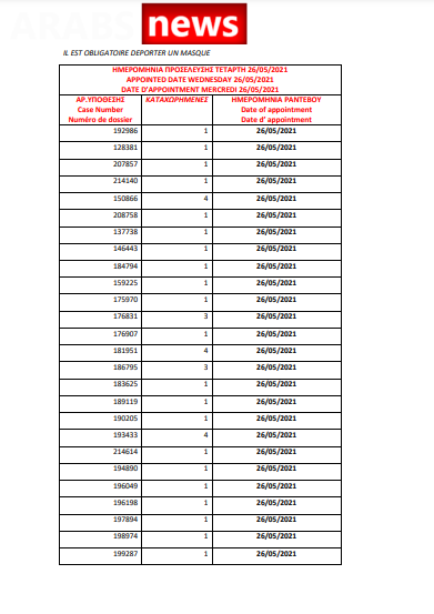
الجوازات التي سيتم تسليمها يوم 26 مايو


الجوازات التي سيتم تسليمها يوم 27 مايو


الجوازات التي سيتم تسليمها يوم 28 مايو


Leave a comment






