أصدرت وزارة الهجرة اليونانية في مدينة ثيسالونيكي أرقام الباسبورات الجاهزة الخاصة بحالات اللجوء، والتي سيتم تسليمها أيام 13 و14 و15 و16 و17 و20 و21 و22 و23.
الجوازات التي سيتم تسليمها يوم 13 سبتمبر

الجوازات التي سيتم تسليمها يوم 14 سبتمبر


الجوازات التي سيتم تسليمها يوم 15 سبتمبر

الجوازات التي سيتم تسليمها يوم 16 سبتمبر

الجوازات التي سيتم تسليمها يوم 17 سبتمبر

الجوازات التي سيتم تسليمها يوم 20 سبتمبر

الجوازات التي سيتم تسليمها يوم 21 سبتمبر

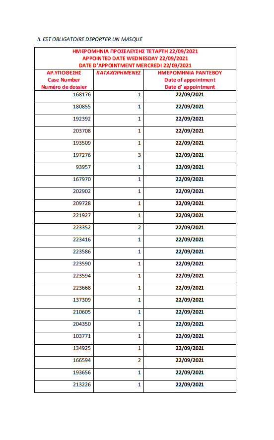
الجوازات التي سيتم تسليمها يوم 22 سبتمبر

الجوازات التي سيتم تسليمها يوم 23 سبتمبر

إقرأ أيضا:
أرقام الباسبورات الجاهزة الخاصة بحالات اللجوء بتاريخ 3 سبتمبر 2021
Leave a comment






