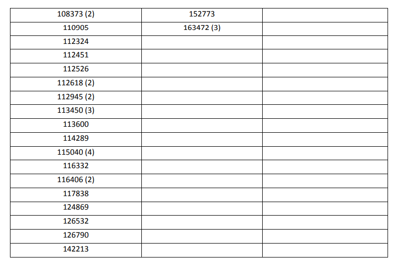
أصدرت وزارة الهجرة اليونانية في أثينا اليوم الخميس 2 ديسمبر 2021، أرقام الباسبورات الجاهزة الخاصة بحالات اللجوء، على أن يتم تسليم الجوازات أيام 6 و7 و8 و9 و10 ديسمبر.
الجوازات التي سيتم تسليمها يوم 6 ديسمبر

الجوازات التي سيتم تسليمها يوم 7 ديسمبر

الجوازات التي سيتم تسليمها يوم 8 ديسمبر

الجوازات التي سيتم تسليمها يوم 9 ديسمبر


الجوازات التي سيتم تسليمها يوم 10 ديسمبر

إقرأ أيضا:
اليونان.. الباسبورات الجاهزة الخاصة بحالات اللجوء بتاريخ 1 ديسمبر 2021 (ثيسالونيكي)
Leave a comment






