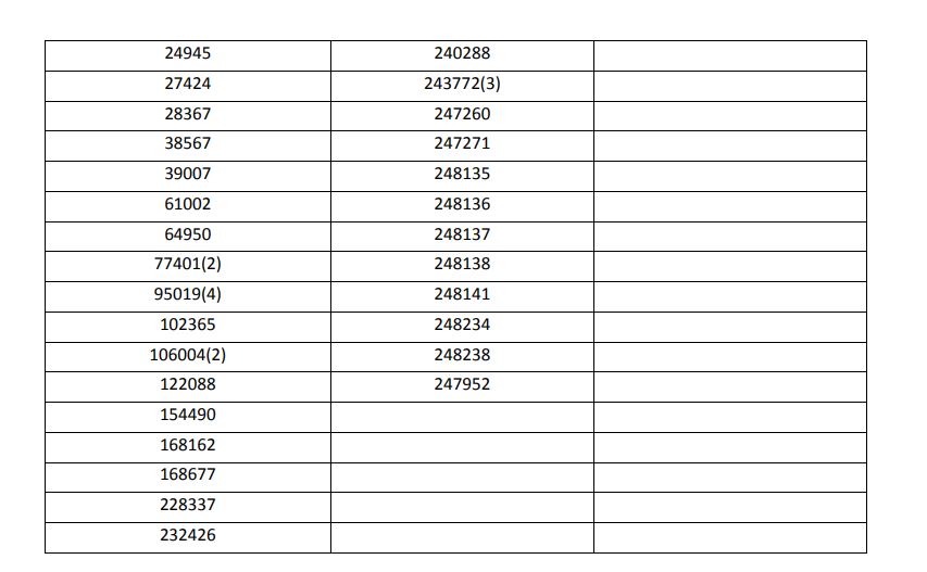
أصدرت وزارة الهجرة اليونانية في أثينا أرقام الباسبورات الجاهزة الخاصة بحالات اللجوء بتاريخ 23 سبتمبر 2022، على أن يتم تسليم الجوازات أيام 26 و27 و28 و29 و30 سبتمبر.
الجوازات التي سيتم تسليمها يوم 26 سبتمبر


الجوازات التي سيتم تسليمها يوم 27 سبتمبر


الجوازات التي سيتم تسليمها يوم 28 سبتمبر


الجوازات التي سيتم تسليمها يوم 29 سبتمبر


الجوازات التي سيتم تسليمها يوم 30 سبتمبر

اليونان.. أرقام الإقامات الجاهزة الخاصة بحالات اللجوء بتاريخ 23 سبتمبر 2022
Leave a comment






