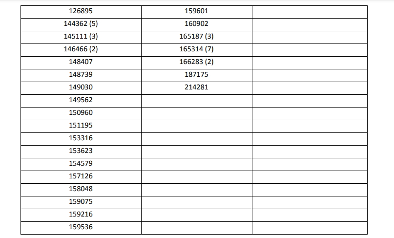
أصدرت وزارة الهجرة اليونانية في أثينا اليوم الجمعة 19 نوفمبر 2021، أرقام الباسبورات الجاهزة الخاصة بحالات اللجوء، على أن يتم تسليم الجوازات أيام 22 و23 و24 و25 و26 نوفمبر.
الجوازات التي سيتم تسليمها يوم 22 نوفمبر


الجوازات التي سيتم تسليمها يوم 23 نوفمبر


الجوازات التي سيتم تسليمها يوم 24 نوفمبر


الجوازات التي سيتم تسليمها يوم 25 نوفمبر


الجوازات التي سيتم تسليمها يوم 26 نوفمبر

إقرأ أيضا:
اليونان.. الباسبورات الجاهزة الخاصة بحالات اللجوء بتاريخ 12 نوفمبر 2021
Leave a comment






