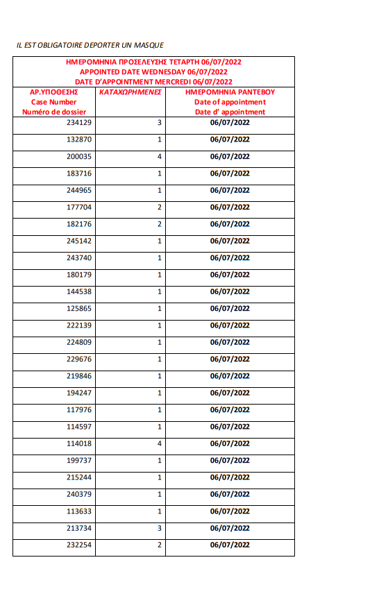
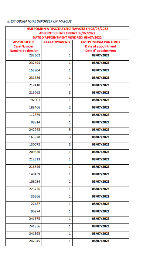
أصدرت وزارة الهجرة اليونانية في مدينة ثيسالونيكي أرقام الباسبورات الجاهزة الخاصة بحالات اللجوء بتاريخ 30 يونيو 2022، على أن يتم تسليم الجوازات أيام 4 و5 و6 و7 و8 يوليو.
الجوازات التي سيتم تسليمها يوم 4 يوليو

الجوازات التي سيتم تسليمها يوم 5 يوليو

الجوازات التي سيتم تسليمها يوم 6 يوليو


الجوازات التي سيتم تسليمها يوم 7 يوليو


الجوازات التي سيتم تسليمها يوم 8 يوليو


Leave a comment






