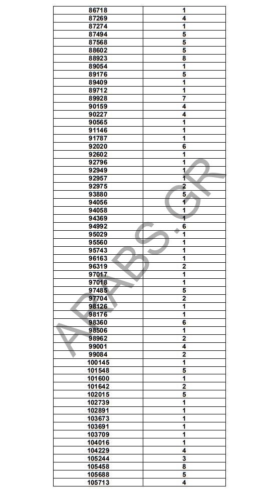
أرقام الموافقات على الباسبورات الخاصة بحالات اللجوء بتاريخ 2019/12/13.


أرقام الموافقات على الباسبورات الخاصة بحالات اللجوء بتاريخ 2019/12/13.


Leave a comment
اخبار اليونان بالعربي



أرقام الموافقات على الباسبورات الخاصة بحالات اللجوء بتاريخ 2019/12/13.

